【題目】兩輛完全相同的汽車,沿平直公路一前一后以相同的速度勻速行駛,若前車突然以恒定的加速度剎車,在它剛停住時,后車以前車剎車時的加速度的二分之一的大小開始剎車,已知前車在剎車過程中所行駛的距離為S,若要保證兩車在上述情況中不相撞,則兩車在勻速行駛時保持的距離至少應為( )
A.1S
B.2S
C.2.5S
D.3S
【答案】D
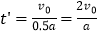
【解析】解:兩輛完全相同的汽車,剎車時加速度不相同,剎車位移也不相同為s,設前車加速度大小為a,后車加速度為0.5a
前車剎車的時間為
,剎車的位移s= ![]()
在此時間內,后車做勻速運動,位移為x=v0t= ![]()
所以x=2s
此后后車剎車,剎車的時間為
,剎車位移也為s′=
=2s,
要保持兩車在上述情況中不相撞,則兩車在勻速行駛時保持的距離至少應為△x=x+s′﹣s=3s,D符合題意
所以答案是:D
【考點精析】本題主要考查了勻變速直線運動的速度、位移、時間的關系的相關知識點,需要掌握速度公式:V=V0+at;位移公式:s=v0t+1/2at2;速度位移公式:vt2-v02=2as;以上各式均為矢量式,應用時應規定正方向,然后把矢量化為代數量求解,通常選初速度方向為正方向,凡是跟正方向一致的取“+”值,跟正方向相反的取“-”值才能正確解答此題.
科目:高中物理 來源: 題型:
【題目】如圖,POQ是折成60°角的固定于豎直平面內的光滑金屬導軌,導軌關于豎直軸線對稱,OP=OQ=L=
m,整個裝置處在垂直導軌平面向里的足夠大的勻強磁場中,磁感應強度隨時間變化規律為B=1﹣8t(T).一質量為1kg、長為L、電阻為1Ω、粗細均勻的導體棒鎖定于OP、OQ的中點a、b位置.當磁感應強度變為B1=0.5T 后保持不變,同時將導體棒解除鎖定,導體棒向下運動,離開導軌時的速度為v=3.6m/s.導體棒與導軌始終保持良好接觸,導軌電阻不計,重力加速度為g=10m/s2 . 求導體棒:![]()
(1)解除鎖定前回路中電流的大小及方向;
(2)滑到導軌末端時的加速度大小;
(3)運動過程中產生的焦耳熱.
查看答案和解析>>
科目:高中物理 來源: 題型:
【題目】如圖,一小車上有一個固定的水平橫桿,左邊有一輕桿與豎直方向成θ角與橫桿固定,下端連接一質量為m的小球P,橫桿右邊用一根細線吊一相同的小球Q.當小車沿水平面做加速運動時,細線保持與豎直方向的夾角為α.已知θ<α,不計空氣阻力,重力加速度為g,則下列說法正確的是
![]()
A. 小車一定向右做勻加速運動
B. 輕桿對小球P的彈力沿輕桿方向
C. 小球P受到的合力不一定沿水平方向
D. 小球Q受到的合力大小為mgtanα
查看答案和解析>>
科目:高中物理 來源: 題型:
【題目】恢復系數是反映碰撞時物體變形恢復能力的參數,它只與碰撞物體的材料有關.兩物體碰撞后的恢復系數為
,其中v1、v2和v1'、v2'分別為物體m1、m2碰撞后的速度.某同學利用如下實驗裝置測定物體m1和m2碰撞后恢復系數.實驗步驟如下:![]()
①如圖所示,將白紙、復寫紙固定在豎直放置的木條上,用來記錄實驗中球m1、球m2與木條的撞擊點;
②將木條豎直立在軌道末端右側并與軌道接觸,讓入射球m1從 斜軌上A點由靜止釋放,撞擊點為B';
③將木條平移到圖中所示位置,入射球m1從 斜軌上A點由靜止釋放,確定撞擊點;
④球m2靜止放置在水平槽的末端相撞,將入射球m1從 斜軌上A點由靜止釋放,球m1和球m2相撞后的撞擊點;
⑤測得B'與撞擊點N、P、M各點的高度差分別為h1、h2、h3;
根據該同學的實驗,回答下列問題:
(1)兩小球的質量關系為m1m2(填“>”、“=”或“<”)
(2)木條平移后,在不放小球m2時,小球m1從斜軌頂端A點由靜止釋放,m1的落點在圖中的點,把小球m2放在斜軌末端邊緣B處,小球m1從斜軌頂端A點由靜止開始滾下,使它們發生碰撞,碰后小球m1的落點在圖中點 .
(3)利用實驗中測量的數據表示小球m1和小球m2碰撞后的恢復系數為e=點.
(4)若在利用天平測量出兩小球的質量分別為m1、m2 , 則滿足表示兩小球碰撞后動量守恒;若滿足表示兩小球碰撞前后機械能均守恒.
查看答案和解析>>
科目:高中物理 來源: 題型:
【題目】如圖所示,質量為m的小球從距離地面高H的A點由靜止開始釋放,落到地面上后又陷入泥潭中,由于受到阻力作用到達距地面深度為h的B點時速度減為零.不計空氣阻力,重力加速度為 g.關于小球在剛接觸地面到速度變為零的過程中,下列說法中正確的有( )![]()
A.小球的機械能減少了mgh
B.小球克服阻力做的功為mg(H+h)
C.小球所受阻力的沖量等于m ![]()
D.小球動量的改變量大小等于m ![]()
查看答案和解析>>
科目:高中物理 來源: 題型:
【題目】某同學用如圖所示的實驗裝置研究小車在斜面上的運動.實驗步驟如下:
![]()
![]()
a.安裝好實驗器材.
b.接通電源后,讓拖著紙帶的小車沿平板斜面向下運動,重復幾次,選出一條點跡比較清晰的紙帶,舍去開始密集的點跡,從便于測量的點開始,每兩個打點間隔取一個計數點,如下圖中0、1、2、…、6點所示.
c.測量1、2、3、…、6計數點到0計數點的距離,分別記為s1、s2、s3、…、s6.
d.通過測量和計算,該同學判斷出小車沿平板做勻變速直線運動.
e.分別計算出s1、s2、s3、…、s6與對應時間的比值
.
f. 以
為縱坐標、t為橫坐標,標出
與對應時間t的坐標點,畫出
-t圖象.
結合上述實驗步驟,請你完成下列任務:
①實驗中,除打點計時器(含紙帶、復寫紙)、小車、平板、鐵架臺、導線及開關外,在下列的器材中,必須使用的有______(填選項代號).
A.電壓合適的50 Hz交流電源
B.電壓可調的直流電源
C.刻度尺
D.秒表
E.天平
F.重錘
②該同學利用實驗得到的數據在圖中已標出各個計數點對應的坐標,請你在該圖中畫出
-t圖象____ .
![]()
③根據
-t圖象判斷,在打0計數點時,小車的速度v0=_________m/s;它在斜面上運動的加速度a=______m/s2.
查看答案和解析>>
科目:高中物理 來源: 題型:
【題目】在 “研究勻變速直線運動”的實驗中,電磁打點計時器使用______(選填“直流”或“交流”)電源,它每隔0.02s打一次點. 圖示是實驗得到的一條點跡清晰的紙帶,相鄰兩個計數點之間還有4個點未畫出,則相鄰兩個計數點間的時間間隔是______s. 經測量點之間的距離如下圖所示,根據圖中數據,可知打點計時器打下第二個點時物體的速度等于______m/s,物體的加速度等于______m/s2.
![]()
查看答案和解析>>
科目:高中物理 來源: 題型:
【題目】在高為1m的水平桌面上有A,B兩個小物體,其中B放在桌子的右邊緣,A放在彈簧的右端O處但不拴接(彈簧的左端固定在桌上,處于自然狀態),LOB=2m,現用A將彈簧壓縮后靜止釋放,在以后運動的過程中A與B發生彈性碰撞,B的落地點到桌子邊緣的水平距離為2m,A,B的質量分別為m,M,m=lkg,M=2kg,(水平面上O點的左側光滑,右側的動摩擦因數為0.5)求:![]()
(1)A最終靜止在什么位置?
(2)彈簧的最大彈性勢能EP.
查看答案和解析>>
科目:高中物理 來源: 題型:
【題目】一水平傳送帶以2.0m/s的速度順時針傳動,水平部分長為2.0m.,其右端與一傾角為θ=37°的光滑斜面平滑相連,斜面長為0.4m,一個可視為質點的物塊無初速度地放在傳送帶最左端,已知物塊與傳送帶間動摩擦因數μ=0.2,試問:![]()
(1)物塊到達傳送帶右端的速度.
(2)物塊能否到達斜面頂端?若能則說明理由,若不能則求出物塊上升的最大高度.(sin37°=0.6,g取l0m/s2)
查看答案和解析>>
湖北省互聯網違法和不良信息舉報平臺 | 網上有害信息舉報專區 | 電信詐騙舉報專區 | 涉歷史虛無主義有害信息舉報專區 | 涉企侵權舉報專區
違法和不良信息舉報電話:027-86699610 舉報郵箱:58377363@163.com